티스토리 뷰
Mobile Manipulator 101 :: Dual Trajectory & task priority(2)
미니멀공대생 2022. 10. 17. 21:47참고한 모든 Paper는 아래 링크에 있습니다. 도움이 되셨다면 Star를 눌러주세요 ㅎ
GitHub - benthebear93/awesome-mobile-manipulator: Reading List and related repos for mobile manipulator
Reading List and related repos for mobile manipulator - GitHub - benthebear93/awesome-mobile-manipulator: Reading List and related repos for mobile manipulator
github.com
해당 글은 아래 논문을 정리한 내용입니다.
참고 논문 : Kinematic Control of Redundant Mobile Manipulators by Mashali, Mustafa
앞선 글에서 설명한 변수들에 대한 수식적인 표현을 정리해보자.

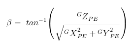
먼저 EE가 모바일 플랫폼으로부터 얼마나 뻗을 수 있는 지에 대해 표현을 하는 D 값을 보자.

이 식은 기본적으로 Global에서 EE의 X,Y,Z축 거리, Global에서 Platform의 X,Y,Z축 거리의 차이를 기준으로 전체 길이를 계산한 값을 표현하고 있다. 즉 Platform에서 EE의 거리의 값이 D 변수가 된다.
변수 알파의 식을 보자.

Platform의 XY좌표축과 EE좌표축 사이의 각도에 대한 표현식이다. 이때 Global에서의 Platform의 각도를 고려하여 표현됐다.수직 방향에 대한 각도를 표현하는 베타는 아래와 같이 표현된다.

변수들의 자코비안 식의 경우 아래와 같이 표현된다.

우선순위에 따른 Dual Trajectory 제어
이 논문에서의 목적은 모바일 매니퓰레이터가 2개의 경로를 따라가도록 하는 것이다. 앞선 글에서도 이야기 한 것 처럼 두개의 경로를 모두 완벽하게 따라가는 케이스는 만족하지 어렵다. 결국 하나의 경로를 우선순위로 두고 따라간 후 다른 경로는 어느정도의 에러를 가진 상태에서 따라가게 만들어야 한다. 추가로 여자유도의 존재여부로 만족시킬 수 있는 최적화 조건들도 존재할 수 있게 된다.
모바일 매니퓰레이터이니
모바일이 우선순위를 가지는 경우와 로봇 팔이 우선순위를 가지는 경우로 두가지를 고려해보자.
환경에서의 어떤 물체를 모바일이 피해가야 하는 경우 로봇 팔의 끝단 위치는 조금 틀어져도 괜찮다.
이와 동일하게 로봇 팔이 특정 작업을 하는 도중이라 경로를 완벽히 따라가야 하는 경우 모바일이 경로를 조금 벗어나도 괜찮을 수 있다.
이런 형태의 Task Priority에 관한 내용은 "Advanced Robotics: Redundancy and Optimization" 라는 책을 참고할 수 있다.
(심지어 PDF도 공짜다 , https://roboticsnakamura.wordpress.com/2020/06/02/pdf-version-advanced-robotics-redundancy-and-optimization/)
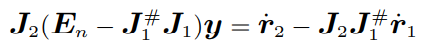
이 책에서 나온 task priority에 따른 Inverse Kinematics는 아래 식을 통해 얻어진다.

여기서 자코비안에 붙은 숫자는 task의 숫자를 뜻한다. 즉 1순위, 2순위의 task의 자코비안이 된다.
이해를 돕기 위해 책의 내용을 정리해보자.
기본적인 속도와 각도의 differential 식은 아래와 같다.

여기서 우리가 알고 있는 general solution은 pseudo inverse를 통해 얻어진다.

이때 명시적 해가 존재하지 않으면, 위 식은 속도와 가속도 식 간의 오차를 최소화 하는 방향으로 해를 구하게 된다.
여기서 task 가 2번인 경우의 식을 고려하여 1번에 대한 식으로 2번식을 표현해보면

위와 같은 식이 된다. 여기서 y의 명시적 해는 일반적으로 존재하지 않기 때문에 1번식과 마찬가지로 속도와 가속도 식 간의 오차를 최소화 하는 방향으로 해가 구해지게 된다. y에 대한 식으로 정리하면

여기서 z 벡터는 임의의 벡터로 둔다. 위의 식들을 정리해서 각속도에 대한 식으로 나타내면

위와 같은 형태의 식이 되고, 여기서 두번째 항은 하나의 증명으로 아래와 같이 축소될 수 있다. (증명에 대해서는 따로 언급하지 않는다.)


결국 이 책에서 나온 각속도의 식이 이 논문에서 나온 task priority를 고려한 inverse kinematics가 되는 것이다.

이 식의 해가 결국 두개의 경로를 우선순위에 따라 만족하면서 로봇이 움직일 수 있는 조인트 속도가 된다. (싱귤러 영역에 대한 고려가 필요하기 때문에 논문에서는 SR-Inverse 방식을 사용했다고 한다.)
실제로 논문에서 제시한 우선순위에 따른 결과를 보면 아래와 같다.
- 로봇 팔의 EE 경로를 1순위로 둔 경우

2. 모바일 플랫폼의 경로를 1순위로 둔 경우

다음 글에서는 이를 시뮬레이션에서 구현하기 위한 수식들과 환경에 대해서 정리해보는 시간을 가져보겠다.