티스토리 뷰
[논문리뷰] Skill Transfer for Surface Finishing Tasks Based on Estimation of Key Parameters
미니멀공대생 2023. 2. 9. 22:41Skill Transfer for Surface Finishing Tasks
Based on Estimation of Key Parameters
저자 : Yitaek Kim, Christoffer Sloth and Aljaz Kramberger
논문 : https://ieeexplore.ieee.org/document/9926698/
작성 : 이해구
ABSTRACT
논문에서는 표면 마감 동작을 새로운 표면에작업의 질을 떨어트리지 않고 적용하는 방법에 대해서 설명한다. 기본 아이디어는 사람이 먼저 표면 마감을 위한 그라인딩 작업을 평면에 보여주면, 새로운 기하학적 표면에 동일한 그라인딩 동작을 생성하는 것을 목적으로 한다. 사람의 MRR(Material removal rate)을 제한하는 것으로 작업 퀄리티를 옮기는 것을 달성했다.
MMR을 온라인으로 예측하여 진행하는 adaptive control로 가능했다. 이때 MRR은 면적, 수직항력, 툴 속도, 툴 마모에 따라 정해진다.
INTRODUCTION
최근에는 커스텀된 제품을 소량 생산하는 욕구가 많이 생기고 있다. 이에 따라 새로운 제품을 만드는 데 드는 비용을 최소화 할 필요가 있다. 최근에는 새로운 자동화 기술들이 많이 발전하면서 작은 회사들도 이런 작업들이 가능해졌다. 특히 표면 마감 같은 작업들이 숙련자가 demonstrate해주는 것으로 로봇의 힘을 빌려 자동화가 되기도 한다.
로봇으로는 Learning from demonstartion 방식이 사람의 행동을 따라하는 것으로 사용되곤 한다. Gaussian Mixture Model을 통한 사람의 행동을 encoding사여 복잡한 커브의 표면 처리를 대응하고는 한다. Dynamic Movement Primitivesfmf 통해 사람의 demonstration을 복사하는 방법도 있다. DMP는 수직항력을 예측한 adaptive control 법칙을 사용하여 force trajectory를 새롭게 생성하는 방법을 사용한다. Dynmaic system learning framework도 생겨서 사람의 기술을 재생성하고 반응이 빠르고 수정이 실시간으로 가능한 가능하다.
대부분의 Learning from demonstration의 방식은 force와 motion의 관점에서 사람의 행동에 집중하지만, 표면 마감에 중요한 파라미터들을 고려하지 않는다. 퀄리티에서 중요한 부분은 MRR을 조절하는 것이다. MRR 조절을 위해서는 표면적, 수직항력이 중요한 요소가 된다 + 툴 속도.
Key parameter : MRR, contact area, normal force, tool speed
이런 Key process 변수들을 정의하고 계산하여 사용하는 예외적인 LfD를 연구하는 경우도 있다. 기존 연구들은 Online으로 파라미터들을 추종하고, Skill을 transfer하는 게 어려웠는데 이번 논문에서는 한번의 demonstration에서 Key parameter들을 찾아 빠르게 skill을 transfer할 수 있도록 한다.
PROBLEM FORMULATION
목적은 사람의 demonstration으로 부터 알고 있는 물체의 구조에 대한 그라인딩 작업의 세팅을 위한 파이프라인을 만드는 것이다. 이를 통해 사람의 작업을 로봇 시스템에 transfer 하는 것을 목적으로 한다. Trajectory, force와 torque에 추가로 MRR과 tool speed를 예측하는 것으로 Skill은 구성된다.

기존 방식들은 Demonstration만 가져온다면 이번 논문에서는 작업의 퀄리티까지 고려한 Skill transfer가 된다. 기존 방식대로하게 되면 작업의 퀄리티는 작업물에 따라 변하게 된다(Demonstration에 대해서만 transfer를 진행했기 때문에). 당연하게도 새로운 형태의 작업물에는 transfer가 용이하지 않다. 이를 해결하기 위한게 이번 논문
표면 마감 작업, 쉽게 말해서 그라인딩에서는 MRR이 퀄리티를 정한다. MRR은 아래 수식으로 표현 가능한데

Kp는 작업물에 의해 결정되고, p는 작업물과 그라인더 사이의 압력, w는 작업물 표면에 대한 tool의 속도를 말한다.

- Key process 파라미터들을 예측하면서 사람의 demonstration이 이뤄진다.
- 로봇이 새로운 표면에서 Key process 파라미터들을 따라간다.
CAD 데이터가 있다면, feed forward trajectory 정보를 쓸 수 있지만, MRR은 툴 마모와도 연관이 있기 때문에 예측된 MRR에 따른 online control이 필요하다.
PROPOSED METHOD
사람의 Skill을 로봇에 전달하는 방법론에 대해서 이야기한다. 사람의 demonstration으로부터 사람의 그라인딩 작업을 구성하는 파라미터들을 예측하는 것을 기본으로 한다. 예측 된 파라미터들은 adative robot control에 사용 된다. 논문에서는 desire MRR을 유지하는 robust control 방식을 제시한다. (접촉 면족과 도구 마모를 고려한)
- Learn : demonstration으로부터 원하는 material removal 작업 -> 필요한 mrr에 대한 그라인딩 작업
- Generalize : 학습한 material removal 작업을 새로운 표면에 적용 -> 로봇 모션과 수직 항력 trajectory
- Adapt : 모델링 되지 않은 모션을 위한 온라인 로봇 동작 -> tool wear과 kinematic 오차를 고려한 동작
논문에서는 주로 learning과 adaptation을 중점으로 다루고 있다.
Control Schem for Genearlization

논문에서 제안한 컨트롤러는 총 3개의 파트로 되어 있다.
- 파리미터 예측 (빨간색)
- MRR 피드백 컨트롤 (파란색)
- 모션과 힘 trajectory 피드포워드 (초록색)
힘과 위치기반으로 제어되는 subspace들의 경우 예측하는 surface normal 에 의해서 정해진다. 이를 통해 로봇 모션은 기구적 불확실성에 의해 생길 오차들을 예측 된 surface normal을 통해 수정 된다.(적응 한다).

기본적으로 Control 방법에서 제일 중요한 건 Desired MRR을 따라가는 거다. MRR을 예측하기 위해 MRR을 수식으로 표현하게 되는데, 이는 좌측 식과 같다.

또한, tangential force와 normal force의 관계는 좌측 식과 같이 표현된다.
이를 통해 MRR식을 단순화 하면

이렇게 된다, 마찰상수와 접촉압력, 툴의 속도로 나타내진다. 이때 툴의 속도는 실제 툴의 속도와 툴을 잡고 있는 로봇이 움직이는 속도의 합이다.
결국 마찰상수와 접촉압력, 툴의 속도를 잘 알고 있다면 MRR을 잘 예측할 수 있다.
앞서 언급한 파이프라인을 통해 이 Key parameter들을 잘 알아낼 수 있다.
On-line Surface Normal Estimation

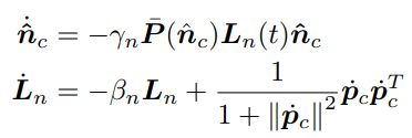
로봇 모션의 경우 CAD파일의 데이터와 예측 된 Surface Normal을 이용하여 적응하여 진행된다. Normal vector를 예측하기 위해서 접촉 포인트의 속도는 언제나 surface normal와 수직하다는 조건을 사용한다.
Surface normal vector를 예측하려면, nomalized integral cost function을 최소화 하는 알고리즘이 사용됐다.(Robust control 공부를 하고 다시 읽어봐야할 듯) 식은 아래와 같다.

Computation of Tangential Force
surface normal을 알았으니 측정된 힘을 normal force와 tangential force로 나눠서 이용할 수 있다.

On-line Contact Pressure Estimation과 Tool 마모 모델에 관해서는 논문을 참고하자.
EXPERIMENT
실험은 1. Skill transfer 과 2. Generalization으로 나눠진다.
Skill transfer은 알루미늄 시트에 로봇팔의 Kinesthetic guiding을 통해 pose trajectory를 deomstrate 하고, 이를 통해 Key parameter를 예측하고 알루미늄 나머지를 그라인딩 한다.
Generalization은 다른 형상의 제품에 demonstrated 된 모션과 예측 된 파라미터를 적용한다.
실제 적용한 결과, surface normal estimator가 측정한 surface normal이 실측값과의 에러를 점차 줄여가는 걸 확인할 수 있었다. 여기세 Tool wear또한 예측하였다.



제안한 방법론이 workpiece의 기하학적 구조가 변경되어도 그라인딩 작업의 퀄리티를 사람 수준과 동일하게 낼 수 있다는 걸 확인 했다.

* Skill transfer는 결국 특정 작업을 하는 데 있어서 Human Demonstration이 있고, Human Demonstration에서 뽑을 수 있는 중요한 파라미터들을 가지고 작업에 필요한 정보들을 estimation하여 Control에 사용하는 형태로 구성 되는 것 같다. 논문에서 중요한 부분은 결국 Geometry가 달라져도 Transfer한 Skill을 적용할 수 있냐인데, 이는 파라미터를 통해 어떤 데이터를 estimation할 것 인지로 해결했다고 보면 될 것 같다.
결국 Feedback Control과 일맥상통한 느낌에서 Feedback 해주는 정보를 Sensor에서 얻어오냐, 아니면 현재 알고 있는 정보를 이용해 estimation해서 하냐의 차이가 있다. 그리고 이때 정보를 가져오는 방식이 특정 어플리케이션에서의 Human demonstration이라는 점에서 Skill transfer가 되는 것이다.
'미니멀공대생 > Control' 카테고리의 다른 글
| Behavior Tree :: Subsumption Architecture, Teleo-Reactive, Decision Trees (0) | 2023.03.05 |
|---|---|
| Behavior Tree :: FSM과 BT의 차이점 (0) | 2023.03.04 |
| Mobile Manipulator 101 :: planar mobile manipulation(1) (0) | 2022.10.19 |
| Mobile Manipulator 101 :: Dual Trajectory & task priority(2) (0) | 2022.10.17 |
| Mobile Manipulator 101 :: Dual Trajectory(1) (2) | 2022.10.15 |