티스토리 뷰
참고한 모든 Paper는 아래 링크에 있습니다. 도움이 되셨다면 Star를 눌러주세요 ㅎ
GitHub - benthebear93/awesome-mobile-manipulator: Reading List and related repos for mobile manipulator
Reading List and related repos for mobile manipulator - GitHub - benthebear93/awesome-mobile-manipulator: Reading List and related repos for mobile manipulator
github.com
해당 글은 아래 논문을 정리한 내용입니다.
참고 논문 : Kinematic Control of Redundant Mobile Manipulators by Mashali, Mustafa

논문에서 제시하는 컨트롤러를 구현하기 위해 간단한 Planar mobile manipulator (PMM)을 정의해보자. 먼저 앞선 글들에서 말한 변수들(D, alpha)을 계산하는 식을 정리해야 한다.
먼저 모바일 플랫폼에서부터 EE의 끝단의 거리를 나타내는 파라미터인 D 식을 정리하면 아래와 같다.

alpha의 경우 외접원의 sin법칙을 이용하여 구할 수 있다. 먼저 로봇 팔을 가장 멀리 뻗었을 때의 길이인 L과 lA와 Dmax를 이용하여 삼각형을 만들고 이를 sin법칙을 사용하여 alpha를 계산하면 아래와 같이 정리 된다.

이 식을 이용하여 D값에 대한 식을 정리하면

이 식을 최종적으로 정리하면

모바일 플랫폼에서부터 EE의 거리를 나타내는 Dmax식이 Lmax와 alpha, lA값에 의해 결정된다는 걸 알 수 있다.
D값을 조절함으로 로봇 팔의 작업 공간을 제약할 수 있게 된다.
PMM의 상태변수 식의 경우 아래와 같다.

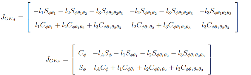
Global부터 EE까지의 속도가 X와 Y, 그리고 제약조건의 변수들로 이루어지는데, 이는 Jacobian과 로봇 팔의 각도 값, 모바일의 Twist 값으로 이루어진다. 이때 자코비안의 경우 Global과 EE를 Arm 기준으로 본 자코비안과 Globqal과 EE를 Platform 기준으로 본 자코비안이 있고, 그 밑에는 제약조건에 관한 식에 대한 자코비안이 있다.
경로에 대한 식은 아래와 같다.



자코비안의 식은

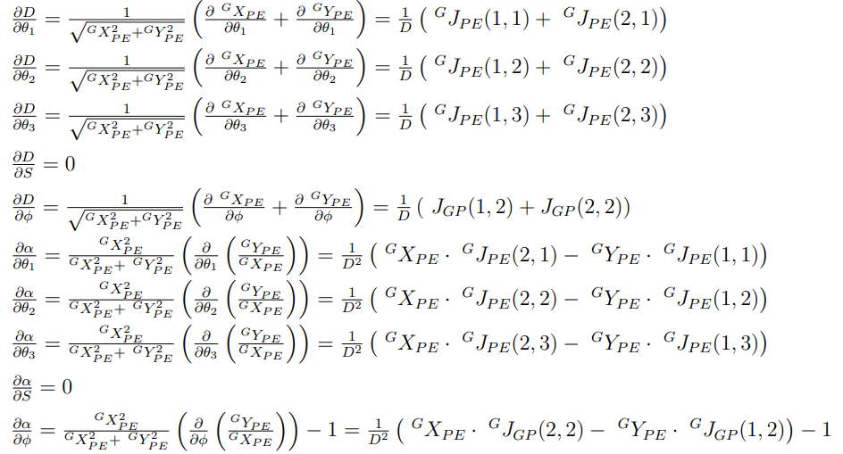
Task space에서 Global frame에 대한 EE와 모바일 플랫폼 사이의 거리는 아래 식으로 표현 할 수 있다.

이때 제어 변수들은

자코비안의 경우


실제로 더 자세한 수식의 경우 논문에 나와 있으니 참고하자.
이제부터는 이를 참고해서 코딩을 구현하는 방향으로 진행하려고 한다. 이제부터는 포스팅에 시간이 좀 걸릴 예정
'미니멀공대생 > Control' 카테고리의 다른 글
| Behavior Tree :: FSM과 BT의 차이점 (0) | 2023.03.04 |
|---|---|
| [논문리뷰] Skill Transfer for Surface Finishing Tasks Based on Estimation of Key Parameters (0) | 2023.02.09 |
| Mobile Manipulator 101 :: Dual Trajectory & task priority(2) (0) | 2022.10.17 |
| Mobile Manipulator 101 :: Dual Trajectory(1) (2) | 2022.10.15 |
| [논문리뷰] A fast, iterative solver for the Inverse Kinematcis Problem (0) | 2022.10.10 |