티스토리 뷰
[논문리뷰] Momentum Observer-Based Collision Detection Using LSTM for Model Uncertainty Learning
미니멀공대생 2022. 4. 24. 20:54Momentum Observer-Based Collision Detection using LSTM
for Model Uncertainty Learing
저자 : Daegyu Lim, Donghyeon Kim, Jaegeung Park
논문 : https://ieeexplore.ieee.org/document/9561667
작성 : 이해구
개인적인 공부를 위해 작성하는 논문 리뷰입니다. 완변학 이해 없이 읽으면서 작성하였기 때문에 이상한 부분들이 많습니다. 댓글에 저보다 잘하시는 분들이 틀린점을 수정해주실 수 있으니, 댓글을 봐주시면 더 좋을 수도 있습니다
ABSTRACT
로봇이 사람들과 같이 협동하게 되면서, 안정성을 매우 엄격하게 보장되어야만 한다. 충돌회피 알고리즘가 더불어서 충돌을 고려하는 (Collision handling) 방법들에 대해서도 연구되고 있다. 모멘텀 옵저버(Momentum Observer)는 조인트 각속도 없이도 외란을 예측하기 위해 나왔다. 모든 제어 형태가 그렇듯이 MOB 또한 모델에 대한 불확실성에 영향을 많이 받는다. 이번 논문에서는 Long Short-Term Memory(LSTM)을 통해 모델의 불확실성을 학습하고, 단순히 Proprioceptive sensor(논문에서는 Encoder와 Current sensor)만으로 외란을 감지할 수 있도록 하였다.
즉, 로봇의 동역학 모델이나 마찰 모델이 없어도 외란을 잘 측정할 수 있도록 하였다!
INTRODUCTION
로봇을 일상 생활로 가져오기 위해서 최근 physical human-robot interaction(pHRI)가 많이 연구되고 있다. 여기서 가장 중요한 문제는 안정성인데, 일상 생활로 들어온 로봇은 사람과 충돌할 가능성을 항상 가지고 있다.
따라서 충돌회피와 충돌고려가 항상 필요하다.
충돌감지/고려 방법들
1. 로봇의 다이나믹 모델을 이용하여 외란을 예측하는 것
+ Joint torque sensor를 이용하여 측정한 값과 모션중에 생긴 torque를 빼는 방식으로 외란 계산
- 다이나믹 토크를 계산하기 위해서 각 가속도(노이즈가 심하다)를 계산할 필요가 있다.
2. 속도 옵저버, 에너지 옵저버, 모멘텀 옵저버(MOB)를 사용하여 외란을 예측하는 것
+ 각 가속도를 사용할 필요가 없다.
+ MOB(JTS가 없는)의 경우 LPF(Low pass filter)를 거친 외란을 엔코더와 전류센서로만 구할 수 있다.
- 예측 된 외란은 모델의 불확실성 (모델링 에러, 마찰력, 조인트나 하모닉 드라이브가 가지는 탄력)을 가지고 있다.

실제로 이런 모델 불확실성들 때문에 안정성에 대한 Threshold를 높게 잡는다. 결국 높은 Threshold는 충돌감지/고려에 민감도를 낮추게 한다. 이에 따라 가변적인 Threshold 알고리즘이 연구되기도 했다.
3. 모델링 에러로 인한 Torque와 외부 Torque를 frequency에 따라 나누는 방법
: 모델링 에러는 low frequency 영역이고, 충돌은 high frequency 영역이라 생각하고 나누는 방법이다.
- cut-off frequency를 설정하는 게 매우 Heuristic하고 천천히 닿는 충돌은 감지하지 못한다.
4. JTS와 IMU를 이용한 regressor-based model adaptive observer로 외란 예측하는 것.
+ 충돌 민감도가 좋다.
- JTS와 IMU가 둘 다 있어야 한다.
5. Deep Learning을 이용한 End-to-End 충돌감지 / residual 예측
+ 모델 불확실성을 고려한다.
- 데이터(충돌데이터) 모으는 게 너무 어렵고, 한번 학습한 모델을 수정할 수 없다.
+ residual을 예측하는 모델은 단순히 free-motion 데이터만 있으면 된다.

본 논문에서는 LSTM과 MOB 사이의 Residual 값을 이용해 외란 Torque를 예측하도록 하였다.
논문의 Contribution
1) 모델링 에러와 마찰이 있는 경우에도 외란 Torque를 예측하는 것으로 충돌을 감지할 수 있다. 로봇의 다이나믹 모델이 아예 없어도 LSTM은 다양한 모델링 에러를 고려할 수 있다.
2) JTS나 힘/토크 센서, IMU 같은 센서가 필요없다.
DISTURBANCE TORQUE ESTIMATION
A. Problem Formulation

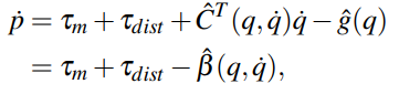
로봇 동역학 모델식 형태이다. 토크는 순서대로 모터토크, 마찰 토크, 외란 토크가 된다. 여기서 이너시아, 코리올리, 중력항의 경우 모델링 오차가 존재하므로 동역학 모델식을 예측하면 아래와 같다.

모델링 에러 토크는 아래 식처럼 정리할 수 있다.


이를 활용해서 모델 불확실성(uncrt)에 관한 토크와 외란 토크(dist)를 정의하여 외란토크 식을 정리하면 아래와 같다.


B. Momentum Observer
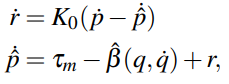
외란 식을 보면 각 가속도 값인 q''이 있다. 실제로 계산할 경우 q'를 미분하여 계산하는데 이러면 노이즈가 많이 들어간다. 따라서 운동량(모멘텀)기반의 외란관측기를 사용하여 q'' 사용을 피한다.


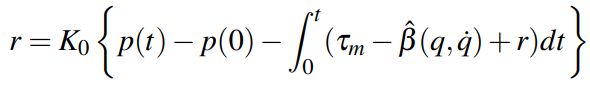
외란 토크를 예측하기 위해서 residual vector인 r을 구하는 식을 정리한다.

식을 보면, 운동량의 변화량의 차이를 residual로 두고 이를 운동량 예측 식에 사용하게 된다. residual 변화량을 적분하여 residual 값과 외란 토크의 관계식을 구성하게 된다.


이를 라플라스 변환하게 되면, 외란 토크의 1차 로우 패스 필터 값이 MOB의 residual 값이라는 것을 알 수 있다.
MODEL UNCERTAINTY LEARNING LSTM
A. Uncertainty Learning Using LSTM Under Free-Motion
MOB의 출력 값은 마찰력과 모델 불확실성 토크로 이루어져 있다. (1차 필터를 거친) LSTM은 시간 연속적인 데이터를 통해 모델 불확실성에 대해서 학습하게 된다. 시간 연속적인 데이터로 LSTM을 사용하는 이유는 마찰력이 가지는 hysteresis 형상 때문이다. 결국 마찰이란 과거의 행동에 영향이 있기 때문에 시간 연속적인 LSTM을 사용하는 것.
또한 MOB 출력 값이 1차 로우 패스 필터를 거친 값이기 때문에 time delay가 생긴다. 이에 따라 시간 연속적인 데이터를 이용하는 것이 MOB의 출력 값을 추론하는 데 좋은 선택이다.
B. Input Selectiong and LSTM Structure

Many-to-one LSTM으로 시간 연속적인 proprioceptive data가 LSTM으로 들어가게 되고, 모델 불확실성에 대한 토크를 예측하게 된다.
각 hidden state h와 cell state c에 대한 1 hidden layer와 20 hidden units으로 구성됐다.
마찰에 의한 토크는 sliding 영역에서의 마찰력이라고 본다. 1차 로우패스 필터를 거친 마찰력의 경우 과거 값과 각속도로 표현될 수 있다. 마찬가지로 모델링 에러에 대한 토크도 각도, 각속도, 각가속도로 구성 된 식으로 표현할 수 있는데, 실제 각가속도는 측정되기 어려울 수 있다. 따라서 이전 각속도(k-1)와 현재 각속도(k)를 이용하여 식을 구성하게 된다.
k는 이산화된 시간 변수를 뜻한다.
정리하면 1차 필터를 거친 모델 불확실성에 대한 토크는 모델링 에러 토크와 마찰력으로 구성되고, 이는 특정 f 함수의 형태로 표현될 수 있다.

여기서 x(k)는 현재 각도, 속도, 이전 각도 속도로 구성되어 있다.


LSTM 네트워크_theta는 위에서 표현된 f 함수를 똑같이 나타내는 방향으로 학습되게 된다.
C. Extreme Modeling Error Case
모델이 아예 없는 경우 모델링 에러 토크가 매우 커질 수 있다. 따라서 이 경우에는 이너시아와 코리올리, 중력 항을 0으로 가정하고 진행한다. 이렇게 되면 residual과 운동량 변화량 식이 아래와 같이 바뀌게 된다.

동일하게 라플라스 변환을 하게 되면 아래와 같다.

따라서 모델이 없는 극한의 경우에 LSTM은 1차 필터를 거친 모터 토크를 예측하는 방향으로 학습하게 된다.
D. External Torque Estimation and Collision Detection
Free motion을 통해 LSTM이 학습 된 후 LSTM은 1차 로우패스 필터를 거친 모델 불확실성에 대한 토크를 예측하게 된다. 따라서 LSTM에 예측한 불확실성 토크를 MOB에서 나온 값을 빼서 외란 토크를 예측 할 수 있다. 외란 토크가 validation set에서 maximum regression으로 정해진 threshold 값을 넘길 경우 충돌이 있다고 판단하게 된다.
EXPERIMENTAL VALIDATION
B. Data Colleciton and Training
Free motion에서 모델링에 대한 불확실성을 예측하기 위해 MOB를 사용하게 된다. 특정 속도에서 quintic-splied trajectory를 통해 랜덤한 각도로 움직이게 된다. Batch size는 1000이며, 500번 epochs를 사용한다. optimizer로 Adam optimizer로 베타1 = 0.9, 베타2 = 0.999와 learning rate = 0.001을 사용한다.
+ 정지 마찰에서는 잘 안된다.
CONCLUSIONS
논문에서는 LSTM을 이용하여 모델 불확실성을 고려한 MOB 기반 충돌 감지 방법을 보였다. 모델 불확실성이란 모델링 에러와 마찰이다. 이를 Free-motion에서 나온 데이터를 이용해 LSTM을 학습하여 불확실성 토크를 예측할 수 있었다. 외란토크는 MOB에서 예측 된 외란 토크에 LSTM에서 예측한 출력 토크를 빼서 확인할 수 있었다. 이를 통해 충돌을 proprioceptive sensor만 사용하여 감지할 수 있었다. (모델이 없는 경우에도)
아쉬운 점은 정지 마찰 영역에서는 잘 안된다는 점.
개인적으로 충돌 감지는 센서에 디펜던시가 크고, 휴리스틱한 부분들이 많은데 LSTM을 사용해서 할 수 있다면 휴리스틱한 부분들을 제거할 수 있을 것 같다. 다만, 휴먼 튜닝보다 인공지능으로 학습 한 예측 값이 더 잘나온다면...
'미니멀공대생 > Control' 카테고리의 다른 글
| MIT 6.800/6.843 Robotics Manipulation :: Basic Pick and Place Part1 (1) | 2022.06.21 |
|---|---|
| MIT 6.800/6.843 Robotics Manipulation :: Motion planning(1) (1) | 2022.04.27 |
| Manipulator Compliance와 Force control에 대하여 (3) | 2022.02.08 |
| Disturbance, Momentum, State Observer에 대해서 (1) | 2022.01.30 |
| [Manipulator] Control (0) | 2022.01.13 |