티스토리 뷰
Adaptive control은 쉽게 말해 모델의 불확실성을 파라미터를 조절하여 해결하는 제어 방식이다. Adaptive control에 사용되는 개념 중에 integral adaptive law가 있다. Integral adaptive law는 파라미터가 불확실하거나 time variant(시간에 따라 변할 때)할 때 파라미터를 추정할 때 사용 된다. 즉, Adaptive control의 큰 틀에서 estimator에 사용 되는 개념이다.
Integral adaptive law는 이름에서도 알 수 있듯이 시스템 오차 신호를 적분하여 파라미터 추정치를 업데이트 하게 된다. 시스템의 출력과 원하는 reference 출력 사이의 오차를 시간에 대해 적분하여 이를 파라미터 추정에 사용한다.

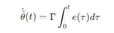
시간에 따른 파라미터 추정의 변화율을 수식으로 표현해보면 위와 같다.
0~t 시간 동안 시스템의 출력과 ref 출력 사이의 오차를 적분하고, 적응 속도를 결정하는 상수(적응 이득 행렬)을 곱해주면 된다.
이때 시스템 혹은 신호는 Persistent excitation 조건을 만족해야 한다. PE는 시스템 혹은 신호가 시간이 지남에 따라 충분하 다양한 조건이나 상태를 경험해야 한다는 뜻이다 (마치 강화학습에서 exploration 충분해야 한다는 느낌이다.) 생각해보면 당연한게, 다양하고 꾸준한 신호/시스템의 변화가 있어야 파라미터 추정이 잘되기 때문이다.

PE에 대한 만족은 위의 수식으로 표현 가능하다.
수식에서의 phi는 시스템의 입력이나 상태를 나타내는 특성 함수(혹은 벡터)이다.
잠시 Contact/Surface normal estimator를 볼 일이 있어서 정리해봤다.
'미니멀공대생 > Control' 카테고리의 다른 글
| [논문리뷰] In-Hand Manipulation via Motion Cones (1) | 2024.03.22 |
|---|---|
| [논문리뷰] Prehensile Pushing : In-hand Manipulation with Push-Primitives (1) | 2024.03.14 |
| [논문리뷰] Control Barrier Functions : Theory and Applications (1) | 2024.01.03 |
| [논문리뷰] Deformable object manipulation :: Modeling 파트 (3) | 2023.10.15 |
| ROS2 :: Moveit2 - Hybrid Planning에 관하여 (2) | 2023.06.13 |